Free Texas Will Forms

Free Printable Will Forms Pdf Printable World Holiday

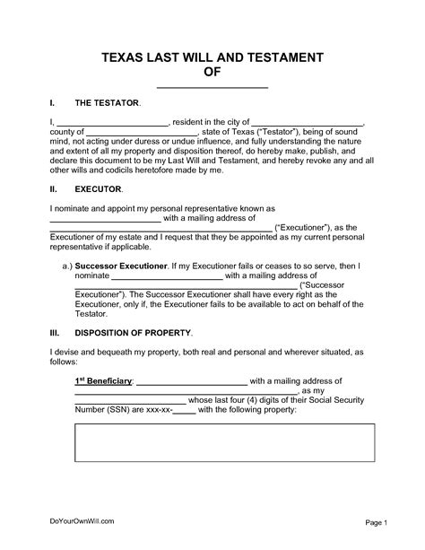
Free Texas Will Forms. You can download, edit, and print these. Web this research guide links you to resources where you may find commonly used legal forms for free.

Free Printable Will Forms Pdf Printable World Holiday
Free Printable Will Forms Pdf Printable World Holiday

Web a state law from 2015 requires the texas supreme court to create simple will forms. Web this article explains the revised will forms recently approved by the supreme court of texas on july 7, 2023. Printable and super easy to use. Web this research guide links you to resources where you may find commonly used legal forms for free. Web download a free texas last will and testament template right here. For a person who is single, widowed, or divorced and who has children. Web download and print texas last will and testament templates for free. You can download, edit, and print these. Use this will form if: In 2023, the supreme court.

Use this will form if: In 2023, the supreme court. You can download, edit, and print these. Use this will form if: Web a state law from 2015 requires the texas supreme court to create simple will forms. Web download and print texas last will and testament templates for free. Printable and super easy to use. For a person who is single, widowed, or divorced and who has children. Web download a free texas last will and testament template right here. Web this research guide links you to resources where you may find commonly used legal forms for free. Web this article explains the revised will forms recently approved by the supreme court of texas on july 7, 2023.