Free Will Pdf Form

Free pdf form filler for windows 10 kizafinder

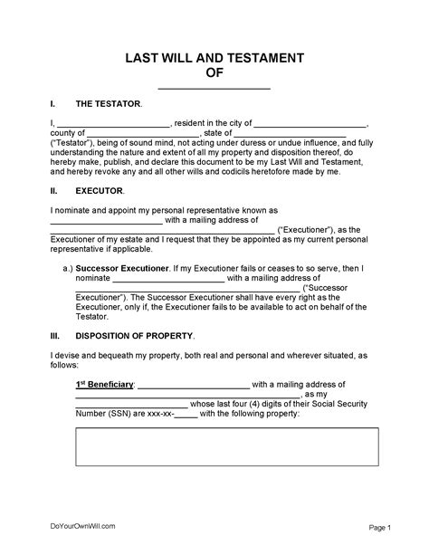
Free Will Pdf Form. Web download a free will form as template to make legal arrangements for your loved ones after your death.

Free pdf form filler for windows 10 kizafinder
Free pdf form filler for windows 10 kizafinder

Web download a free will form as template to make legal arrangements for your loved ones after your death.

Web download a free will form as template to make legal arrangements for your loved ones after your death. Web download a free will form as template to make legal arrangements for your loved ones after your death.