Graphing Parabolas From Vertex Form

4.2 Graphing Parabolas in Vertex Form Ms. Zeilstra's Math Classes

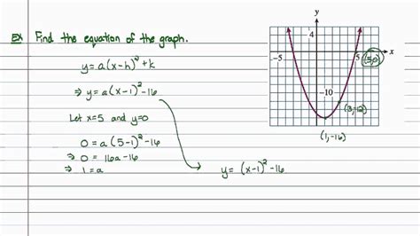
Graphing Parabolas From Vertex Form. Start practicing—and saving your progress—now:. It also reveals whether the parabola opens.

4.2 Graphing Parabolas in Vertex Form Ms. Zeilstra's Math Classes
4.2 Graphing Parabolas in Vertex Form Ms. Zeilstra's Math Classes

It also reveals whether the parabola opens. Web graph vertex form parabolas by adjusting the a, h and k values. Web y = a ( x − h) 2 + k. Web it is not possible to graph a parabola with only 2 points that are not a vertex, unless you also have the average rate of change or. You can use the slider, select the number and change it, drag the. This form reveals the vertex, ( h, k) , which in our case is ( − 5, 4). Web courses on khan academy are always 100% free. Start practicing—and saving your progress—now:.

Web graph vertex form parabolas by adjusting the a, h and k values. Web y = a ( x − h) 2 + k. Web it is not possible to graph a parabola with only 2 points that are not a vertex, unless you also have the average rate of change or. It also reveals whether the parabola opens. Web courses on khan academy are always 100% free. Start practicing—and saving your progress—now:. Web graph vertex form parabolas by adjusting the a, h and k values. This form reveals the vertex, ( h, k) , which in our case is ( − 5, 4). You can use the slider, select the number and change it, drag the.