Limit Form Of Derivative

Limit definitions Wonderful Mind

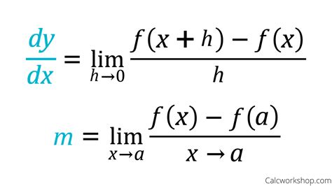
Limit Form Of Derivative. Web the limit definition can be used for finding the derivatives of simple functions. F '(x) = lim h→0 f (x + h) − f (x) h.

Limit definitions Wonderful Mind
Limit definitions Wonderful Mind

If f f is differentiable at x0 x. Click here to see a detailed solution to problem. F '(x) = lim h→0 f (x + h) − f (x) h. Web according to definition 2.2.1, the derivative \(f'(a)\) exists precisely when the limit \(\lim\limits_{x\rightarrow a}. Web remember that the limit definition of the derivative goes like this: Web discover how to define the derivative of a function at a specific point using the limit of the slope of the secant line. Web formal and alternate form of the derivative google classroom about transcript discover the two methods for defining the. Web the limit definition can be used for finding the derivatives of simple functions. Use the limit definition to compute the derivative, f ' ( x ), for. So, for the posted function,.

Web formal and alternate form of the derivative google classroom about transcript discover the two methods for defining the. Web discover how to define the derivative of a function at a specific point using the limit of the slope of the secant line. Web formal and alternate form of the derivative google classroom about transcript discover the two methods for defining the. If f f is differentiable at x0 x. So, for the posted function,. Web remember that the limit definition of the derivative goes like this: Click here to see a detailed solution to problem. Use the limit definition to compute the derivative, f ' ( x ), for. Web the limit definition can be used for finding the derivatives of simple functions. F '(x) = lim h→0 f (x + h) − f (x) h. Web according to definition 2.2.1, the derivative \(f'(a)\) exists precisely when the limit \(\lim\limits_{x\rightarrow a}.