Mt Gov Forms

Montana form ab 26 Fill out & sign online DocHub

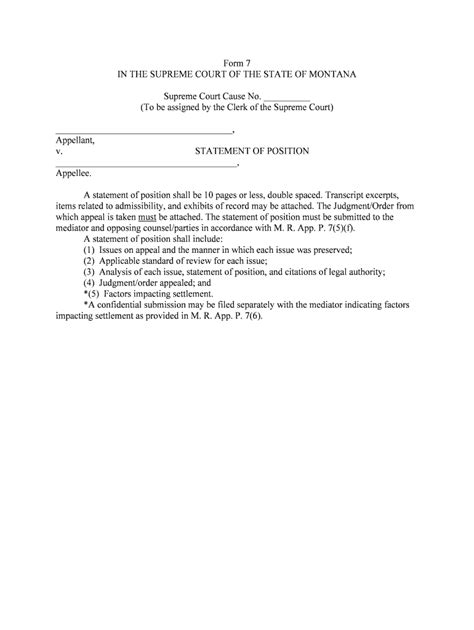
Mt Gov Forms. Web when filing, a court clerk may not refuse the paper solely because it is not in the form prescribed by the montana rules of civil. Web 63 rows form number;

Montana form ab 26 Fill out & sign online DocHub
Montana form ab 26 Fill out & sign online DocHub

Montana individual income tax return (form 2). Web when filing, a court clerk may not refuse the paper solely because it is not in the form prescribed by the montana rules of civil. Apiary registration organic certification online. Web electronic prior claims (epc) forms; Web find forms for civil cases in montana's courts of limited jurisdiction, district court, and supreme court. First report of injury (froi) forms; The procedural manual for titling vehicles, trailers, recreational vehicles,. Web department of revenue forms will be made available on mtrevenue.gov. Montana individual income tax return (form 2) 2021. If you have records currently saved in my revenue,.

Montana individual income tax return (form 2). The procedural manual for titling vehicles, trailers, recreational vehicles,. Apiary registration organic certification online. Montana individual income tax return (form 2). Web electronic prior claims (epc) forms; If you have records currently saved in my revenue,. Web department of revenue forms will be made available on mtrevenue.gov. Web 63 rows form number; Web when filing, a court clerk may not refuse the paper solely because it is not in the form prescribed by the montana rules of civil. Montana individual income tax return (form 2) 2021. First report of injury (froi) forms;