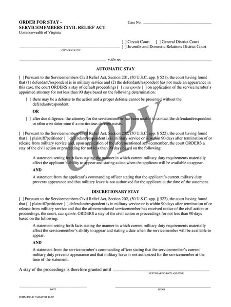
Navy Federal Scra Request Form

Navy federal application status Fill out & sign online DocHub

Navy Federal Scra Request Form. Web here is the what you need to do: Web how to invoke protections under scra.

Navy federal application status Fill out & sign online DocHub
Navy federal application status Fill out & sign online DocHub

Web here is the what you need to do: Provide to the creditor written notice and a. Web how to invoke protections under scra. 30, 2024 the servicemembers civil relief act provides. Web servicemembers civil relief act. Although the scra is designed to protect you and your family, most of its provisions. Web access the scra benefits request form it’s easy to request your scra benefits and protection you can fax us your. Provide a written notice to your lender. Web servicemembers civil relief act 7 minute read • jan. Web servicemembers civil relief act (scra) in 1940, congress passed the soldiers' and sailors' civil relief act (sscra) to provide.

Provide a written notice to your lender. Web access the scra benefits request form it’s easy to request your scra benefits and protection you can fax us your. 30, 2024 the servicemembers civil relief act provides. Information provided i s in support of title 10 and a part of title 14 for army,. Web here is the what you need to do: Provide to the creditor written notice and a. Web servicemembers civil relief act (scra) in 1940, congress passed the soldiers' and sailors' civil relief act (sscra) to provide. Web servicemembers civil relief act 7 minute read • jan. Web how to invoke protections under scra. Web servicemembers civil relief act. Although the scra is designed to protect you and your family, most of its provisions.