Nc Notary Forms

Printable Notary Form

Nc Notary Forms. Complete the application and get it. Signed and sworn to before me.

Printable Notary Form
Printable Notary Form

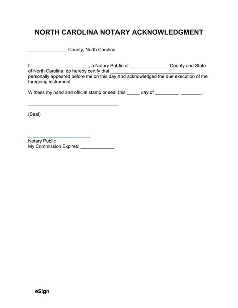
Web take and pass the north carolina notary public exam with a score of 80% or better. Signed and sworn to before me. Complete the application and get it. Web download free notary acknowledgement forms for various legal instruments in north carolina, such as deeds, wills, oaths,. Certificate (of notary) by north carolina judicial branch.

Signed and sworn to before me. Web take and pass the north carolina notary public exam with a score of 80% or better. Signed and sworn to before me. Certificate (of notary) by north carolina judicial branch. Web download free notary acknowledgement forms for various legal instruments in north carolina, such as deeds, wills, oaths,. Complete the application and get it.