Sample Will Forms

Blank Invoice Form Sample Forms

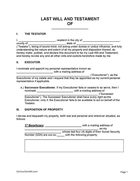
Sample Will Forms. Web you can write a will yourself, with estate planning software or by consulting an estate planning attorney. Web browse legal issues.

Blank Invoice Form Sample Forms
Blank Invoice Form Sample Forms

Findlaw provides a sample simple will and discusses each section. Web you can write a will yourself, with estate planning software or by consulting an estate planning attorney. Web browse legal issues.

Web browse legal issues. Web browse legal issues. Findlaw provides a sample simple will and discusses each section. Web you can write a will yourself, with estate planning software or by consulting an estate planning attorney.