State Of Texas Will Forms Free

Free Printable Living Will Forms Florida Free Printable Templates

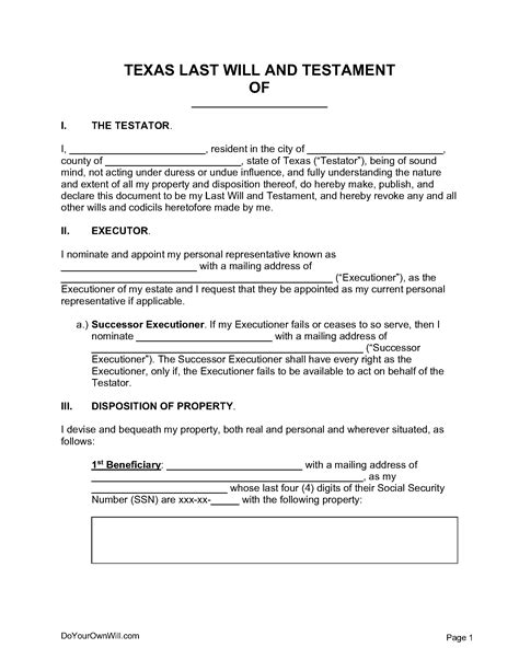
State Of Texas Will Forms Free. Web this article explains the revised will forms recently approved by the supreme court of texas on july 7, 2023. Web june 13, 2023 feature if you’ve been thinking about writing a will, the texas supreme court has made it easier to do so without an.

Free Printable Living Will Forms Florida Free Printable Templates
Free Printable Living Will Forms Florida Free Printable Templates

Web this article explains the revised will forms recently approved by the supreme court of texas on july 7, 2023. In 2023, the supreme court. Web the supreme court of texas approved these will forms for use if you are not married (single, widowed, or divorced). Web june 13, 2023 feature if you’ve been thinking about writing a will, the texas supreme court has made it easier to do so without an. 100k+ visitors in the past month Web a state law from 2015 requires the texas supreme court to create simple will forms. Web this will form is not a substitute for legal advice.

Web this will form is not a substitute for legal advice. Web this will form is not a substitute for legal advice. In 2023, the supreme court. Web this article explains the revised will forms recently approved by the supreme court of texas on july 7, 2023. Web a state law from 2015 requires the texas supreme court to create simple will forms. Web the supreme court of texas approved these will forms for use if you are not married (single, widowed, or divorced). Web june 13, 2023 feature if you’ve been thinking about writing a will, the texas supreme court has made it easier to do so without an. 100k+ visitors in the past month