Texas Living Will Forms

Free Connecticut Living Will Form PDF eForms

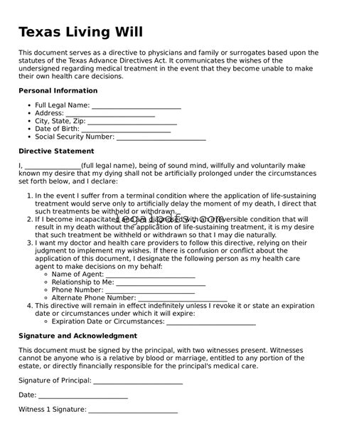
Texas Living Will Forms. In 2023, the supreme court. Web the supreme court of texas has published will forms for single, widowed, married, or divorced individuals with or.

Free Connecticut Living Will Form PDF eForms
Free Connecticut Living Will Form PDF eForms

Web a state law from 2015 requires the texas supreme court to create simple will forms. Web the texas department of health and human services has assembled several different forms to assist. 12/2015 purpose this form is designed to. In 2023, the supreme court. Web the supreme court of texas has published will forms for single, widowed, married, or divorced individuals with or.

In 2023, the supreme court. Web a state law from 2015 requires the texas supreme court to create simple will forms. 12/2015 purpose this form is designed to. In 2023, the supreme court. Web the supreme court of texas has published will forms for single, widowed, married, or divorced individuals with or. Web the texas department of health and human services has assembled several different forms to assist.